
为了进一步促进研究生学术交流,拓宽研究生学术视野,营造良好的学术氛围,sm调教
主办的“沿途青年说”第19讲于10月18日下午16:00-17:20在线上(腾讯会议:177-227-812)举行。本次主讲人为20级研究生张志豪,主题为MIMO NOMA网络中发射天线选择和波束成形的联合设计。

首先,张志豪同学从研究背景,系统模型和问题建模,问题求解,仿真结果,汇报总结5个方面进行介绍。
他首先向我们介绍了非正交多址(NOMA)技术,以及多天线和波束成形技术的背景。然后讲述了他的贡献点,分别为提出了发射天线选择和波束成形的联合设计这样一种新的系统模型,以及结合加权最小均方误差(WMMSE)方法和罚对偶分解(PDD)方法解决了与提出的系统模型相对应的优化问题。
具体的算法是一种双循环算法。外循环是基于罚对偶分解(PDD)方法的算法,用于处理等式约束,更新惩罚因子和对偶变量;内循环是基于块坐标下降(BCD)方法的算法,用于更新各个优化变量。外循环和内循环交替进行,最后收敛到局部最优解。
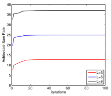
最后展示了他的仿真成果,可以看到,结果优于其他对比方案。
在活动的问答环节,主讲人对同学们的疑问进行了探讨,通过本次“sm调教
”的分享,同学们对无线通信领域中MIMO NOMA网络方面的内容可以有更深的认识和理解,对自己的研究生生涯规划也有了更清晰的认识,为自己今后的科研道路奠定了基础。
张志豪
2020级sm调教
电子信息专业硕士
导师:赵赛
主要研究方向:无线通信
主要科研成果:一篇SCI文章